
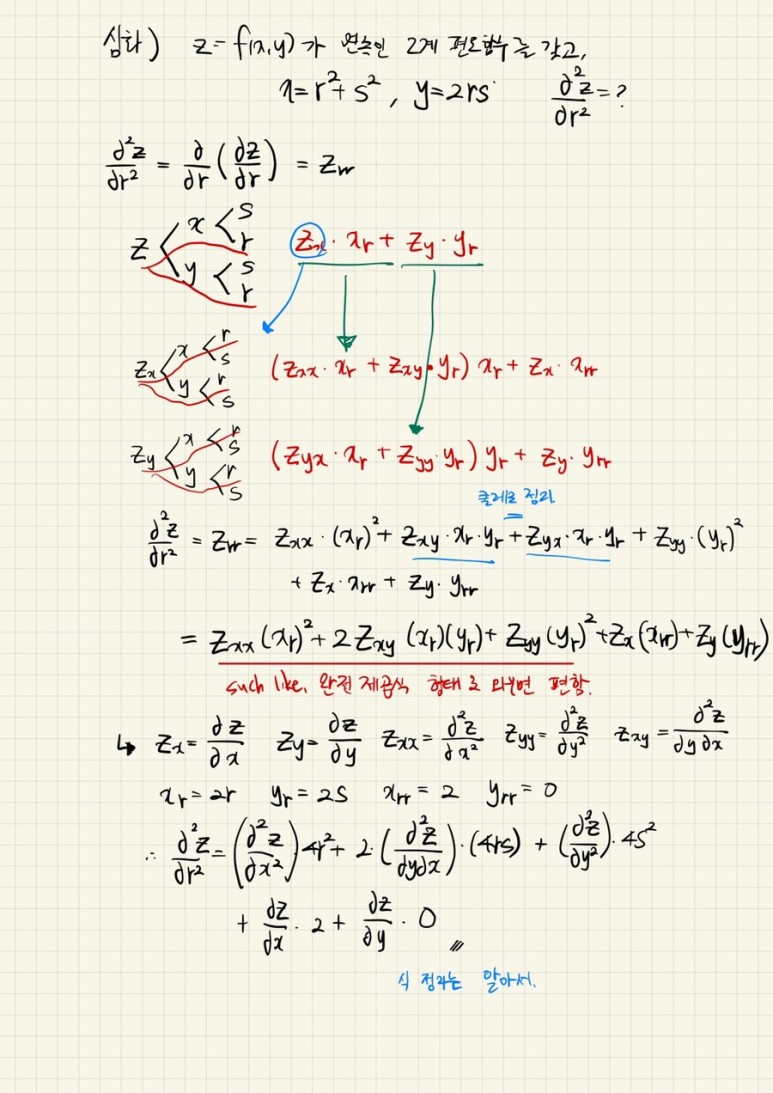
편미분 중요 포인트는 나머지 변수를 정수 취급하는 것이다. 또 미분의 기호에 따라 편미분의 순서도 파악할 수 있다.


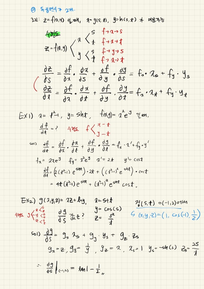
합성함수의 미분은 수형도를 중요하게 생각해야 한다. 수현이도 많이 연습하자 현재와 같은 독립변수가 하나일 때 합성함수 미분은 간단하지만 독립변수가 둘 혹은 셋, 이층 미분, 삼층 미분 등으로 복잡해지면 우왕좌왕할 것이다.

마찬가지로 수형도 그리는 건 중요해.

수형도 필요성의 이유=독립변수가 2개인 합성함수의 2계 편미분 증명을 이해할 수 없으면 그대로 기억하자.
합성함수에서는 수형도 필수! 수학 독학